Loading...
65,950 articles found
In this four-part series, you’ll learn how to create an Intelligent App with Azure Container Apps. In this fourth and final part, you’ll explore how to integrate a custom model into your Intelligent Apps, enhancing the application’s features with specialized AI.
1 year ago
5
Python became a quite popular programming/scripting language recently. But, after some inspiring experience, I've got some open questions...
1 year ago
4.69
In this four-part series, you’ll learn how to create an Intelligent App with Azure Container Apps. In this third part, you’ll explore how to level up your Intelligent Apps by training a custom model using your own dataset.
1 year ago
0
A case study in building a cloud tool to perform service virtualization using LocalStack (AWS), minimal APIs, and Terraform
1 year ago
5
A case study in building a cloud tool to perform service virtualization using LocalStack (AWS), minimal APIs, and Terraform
1 year ago
4.5
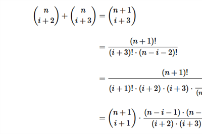
A quicker way to calculate the partial sum of binomial coefficients
1 year ago
5
In this four-part series, you’ll learn how to create an Intelligent App with Azure. This second tutorial demonstrates how to add intelligent features to this user feedback analysis application. Then, it explores how to use your new Intelligent App to analyze user feedback.
1 year ago
5
An explanation of how to develop a client package Integrating OpenAI into .NET Applications by explaining the development, build, testing and usage.
1 year ago
5
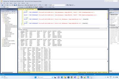
Query Excel or CSV files with T-SQL without importing them in a table first
1 year ago
4.7
In this series, we will see how to build interactive web applications in ASP.NET Core with the help of Sircl.
1 year ago
5